Увеличение денежных средств на лицевом счете, успешная игра в букмекерской конторе — основные цели каждого игрока. К сожалению, не у всех получается их осуществить. Для достижения этих задач используются различные схемы, одна из популярных — догон. Для упрощения игры по системе бетторы используют калькулятор догона ставок на спорт.
Принцип стратегии догон
В теории, это практически беспроигрышная стратегия, основная идея которой — когда-нибудь должна сыграть та или иная ставка. Для успешной реализации стратегии выделяют 3 главные особенности:
- Большой игровой банк. В случае проигранных пари, необходимо увеличивать сумму ставки, чтобы отыграть проигрыш. Из-за этого нужно иметь солидный банкролл. Учтите, в случае длительной серии неудач его должно хватить на 10-15 пари.
- Выдержка беттора. После частых неудач игрок может сорваться и начать ставить на все подряд, желая отыграться как можно быстрее. Это грубейшая ошибка! Она может привести к банкротству или разочарованию в букмекерском мире. Чтобы не совершить ее, нужно иметь спокойствие, выдержку и умение владеть собой.
- Выбор лояльных БК. Начать играть по данной стратегии можно в любой букмекерской конторе. Однако, букмекеры не любят профессиональных игроков, которые часто выигрывают и начинают урезать им максимальную сумму ставки. Нужно выбирать букмекерскую контору с высокими максимумами.
Суть стратегии. Игрок выбирает сумму первоначальной ставки. Если она проходит, то следующее пари заключается на ту же сумму. Если не проходит — сумма последующих пари должна быть такой, чтобы перекрыть все предыдущие проигрыши.
Пусть банк — 1000 рублей, начинаем с 10 рублей, коэффициент от 2.0. При проигрыше, будем увеличивать сумму в два раза.
| № | Ставка в рублях | Коэффициент | Результат | Убыток/прибыль |
|---|---|---|---|---|
| 1. | 10 | 2.2 | - | -10 |
| 2. | 20 | 2.55 | - | -30 |
| 3. | 40 | 2.1 | - | -70 |
| 4. | 80 | 2.4 | - | -150 |
| 5. | 160 | 2.6 | - | -310 |
| 6. | 320 | 2.1 | + | +42 |
Исходя из примера, общее число поставленных денежных средств достигло 10+20+40+80+160+320=630 рублей. Банка хватило бы на 7 пари. В случае серии из 6 поражений, баланс банкролла стал бы 1000-630=370 рублей, что означало бы нехватки денег на 7 пари, которое по правилам стратегии должно быть на 320*2=640 р.
Главная особенность текущей стратегии — отыграть одной ставкой все проигранные исходы. Благодаря такой системе, даже один выигрыш позволит вернуть все убытки и получить прибыль.
Разновидности догонов
Существует несколько тактик.
Классический догон
Это самый известный и простой вид в спортивном беттинге. Коэффициенты должны быть не меньше 2.0.
- Заключаем пари.
- Если событие не прошло, следующую ставку увеличиваем в 2 раза, чтобы отыграться и увеличить свой банкролл.
- При положительном результате начинаем цикл заново со стартовой суммы.
Мягкий догон
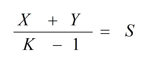
Этот вид надежнее классического, поскольку позволяет выбирать события с коэффициентами меньше 2.0. Сумма ставки (обозначено «S») на каждый последующий исход вычисляется по формуле:
- X — количество денег, которые игрок проиграл в предыдущих ставках;
- Y — сумма, которую беттор желает выиграть;
- K — коэффициент выбранного события.
Вы можете использовать онлайн калькулятор догона ставок в несколько шагов на сайте academy.betting.at-te.ru
Двойной догон
В данном виде чередуются ставки. Рекомендуется играть на тоталах.
Серия ТБ, ТМ, ТБ, ТМ встречается крайне редко, а серия ТМ, ТМ, ТМ, ТБ, ТБ, ТБ можно увидеть гораздо чаще.
Например, беттор заметил, что 4 матча подряд с участием ФК «Милана» проходит ТБ(2.5). В этой ситуации выбираем противоположный исход — ТМ(2.5):
- Если событие сыграло, тогда в следующем поединке этой команды заключаем пари на ТБ(2.5).
- В случае проигрыша, продолжаем играть на ТБ(2.5) до тех пор, пока ставка не сыграет.
Кроме серийности полезно учитывать статистику клуба за последние сезоны – как часто проходили такие серии, средний тотал команды за игру.
Стратегия на футбол – догон в промежутке времени
Стратегия хорошо подходит для игры в режиме Live.
Лучше выбирать атакующие команды. Суть — заключаем пари на гол в промежутке игрового времени; например, с 1-й по 15-ю минуту. Если проигрываем, ставим на следующий отрезок времени — с 16-й по 30-ю минуту. Учтите, в каждом следующем шаге необходимо увеличивать ставку в 2 раза. Таким образом, игрок перекроет все проигрыши и увеличит банк.
Примеры
Рассмотрим подробно на примерах каждую из разновидностей.
Классический догон
Предположим банк — 1000 рублей, начальная ставка — 10 рублей.
- Матч «Боруссия» (Менхенгладбах) — «Шальке», ставка П1, коэффициент (далее к-т) 2.12, 10 рублей. Счет 0:0, проигрыш, удваиваем сумму. 10*2=20 р. следующая ставка.
- «Рубин» — «Арсенал» (Тула), Х (ничья), к-т 3.20, 20 р. Результат встречи 1:0, поражение.
- «Страсбур» — «Айнтрахт», Х, к-т 3.5, 40 р. Игра закончилась победой хозяев 1:0, проигрыш.
- «Краснодар» — «Локомотив» (Москва), Х, к-т 3.38, 80 р. 1:1, выигрыш.
80*3.38=270.4-80=190.4 — доход по этой ставке. Из этого значения вычитает сумму, которую проиграли в прошлых 3 матчах (10+20+40=70) и получаем 190.4-70=120.4 — чистая прибыль. - «Боруссия» (Мёнхенгладбах) — «Лейпциг», П2, к-т 2.1, так как в прошлый раз выиграли, возвращаемся к стартовой сумме 10 р. Результат поединка 1:3, победа. Прибыль 2.1*10-10=11 р.
Мягкий догон
Пусть игрок заключил 4 пари, которые не прошли и убыток составил 1000 рублей.
| № | Сумма (S) в рублях | Коэффициент | Результат | Убыток/прибыль |
|---|---|---|---|---|
| 1. | 100 | 1.2 | - | -100 |
| 2. | 200 | 1.5 | - | -300 |
| 3. | 300 | 1.75 | - | -600 |
| 4. | 400 | 1.57 | - | -1000 |
На 5 этапе беттор планирует выиграть 2000 рублей, заключая пари с коэффициентом 1.4. По формуле размер ставки должен составить: (1000+2000)/(1,4-1)=7500 рублей. Если событие сыграет, то чистый выигрыш составит 1000 рублей. В противном случае, необходимо продолжать следовать правилам системы.
Двойной догон
Яркий пример — матчи с участием «Ливерпуля».
- Игрок заметил, что с 26 декабря 2018 года по 7 января 2019 года 4 встречи кряду проходил ТБ(2.5).
- В 5-й встрече необходимо поставить на противоположный исход — ТМ(2.5). Результат игры 0:1, событие успешно прошло.
- В 6-м поединке ставим снова на противоположный исход — ТБ(2.5). Счет матча 4:3, выигрыш.
- В 7-м выбираем ТМ(2.5). Результат 1:1, победа
- В 8-м — ТБ(2.5), но он не проходит, проигрыш.
По правилам продолжаем играть до тех пор, пока не сыграет пари.
- В 9-й встрече — ТБ(2.5). Клубы сыграли со счетом 3:0, событие прошло.
Стратегия на футбол – догон в промежутке времени
Пусть банк — 1000 рублей. Ставка в интервале:
- С 1-15 минуту 10 рублей, коэффициент 3.26, проигрыш, баланс 1000-10=990 р.
- С 16-30 мин. 20 р., к-т 2.99, проигрыш, 970 р.
- С 31-45 мин. 40 р., к-т 2.6, неудача, 930 р.
- С 46-60 мин. 80 р., к-т 2.85, поражение, 850 р.
- С 61-75 мин. 160 р., к-т 2.66, проигрыш, 690 р.
- С 76-90 мин. 320 р., к-т 2.08, победа.
Чистый выигрыш: 320*2.08=665.6 р.; 665.6-320 (последняя сумма) = 345.6+690=1037.6-1000=37.6 р. — прибыль.
Как пользоваться калькулятором догона
Для удобства игры по стратегиям целесообразно использовать онлайн калькулятор для расчета догона ставок. Его можете найти на сайте stilbet.su.

- В поле «Коэффициент ставки» вводится коэффициент на выбранное событие. К примеру, беттор играет на исход П1, который букмекерская контора оценила в 2.3. Тогда в первое поле необходимо ввести 2.3.
- Во второй графе «Количество ставок» нужно ввести желаемое число шагов, на которое рассчитываете распределить весь банкролл.
Рекомендуются не вводить число меньше 7. Тем самым минимизируются шансы проиграть. Оптимально 8 — 12. Но все зависит от коэффициента — чем выше, тем больше шагов придется использовать.
- «Начальная ставка» — сумма первой ставки.
- Поле «Общий банк» оставляете пустым. После заполнения остальных полей и нажатия на кнопку «Вычислить», в этом поле будет показан размер банкролла, который обеспечит все шаги стратегии.
- «Цель» — способ измерения дохода, фиксированная прибыль или фиксированный ROI.

- В графе «Значение цели. Выигрыш в конце серии» вводите желаемую прибыль на последнем шаге.
- После нажатия кнопки «Вычислить» производится расчет, который представлен в таблице «РЕЗУЛЬТАТ».

Наши материалы всегда под рукой в ваших социальных сетях. Присоединяйтесь к паблику в VK или следите за нами в Twitter.














